DC cable sizing for extending batteries
In certain situations, batteries are not supplied with factory cables, and we have to make them ourselves — sometimes only the connector is provided, or the system connects using ring terminals. In such cases, proper cable sizing is critical. This article reviews the most important aspects, as undersized cables can lead to serious issues (including fire hazards).
When sizing the cable, we must first examine what kind of system we want to build. Key parameters include:
- Voltage level
- Current
- Cable length
- Safety factor
- Voltage drop
- Cable material characteristics
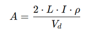
The formula for calculating the required cable cross-section is as follows:

where
A: cross-sectional area
2: multiplier due to the +/- conductors, as both contribute to the total resistance
L: cable length (for one conductor)
I: current
ρ: material constant (for copper: 0.017241)
Vd: voltage drop
Using this formula, it is possible to determine the appropriate cable size for a given system configuration. For safety, it is recommended to apply a 25% safety factor. This means that in the formula, the current value I should be replaced with 1.25 times the expected maximum current.
If the resulting cross-section value is not an integer or if the calculated cable size is not available, the next larger cable size must always be used for the system.